Answer The answer is ) Stepbystep explanation We are given to factorise the following expressionFor example putting 2x² x 3 into the form (2x 3)(x 1) factorise 9x to the power of 4 64y to the power of 2 Math Factorise X'29X 14 You can view more similar questions or ask a new question Answer (xy) (2xy) (x2y) (xy) = {2x^2 xy 2xy y^2} {x^2 xy 2xy 2y^2} = 2x^2 xy 2xy y^2 x^2 xy 2xy 2y^2 = 3x^2 y^2 4xy SIMPLE AS THAT PLEASE MARK BRAINLIEST IF IT MADE SENSE Muxakara and 6 more users found this answer helpful heart outlined

Joint Equation Of A Pair Of Lines When Point On Them And Two Lines Are Given
Factorise (2y x)^2(y-2x) (2x y)^2(2x-y)
Factorise (2y x)^2(y-2x) (2x y)^2(2x-y)- Transcript Example 21 Factorize 4x2 y2 z2 – 4xy – 2yz 4xz 4x2 y2 z2 – 4xy – 2yz 4xz = 22 x2 y2 z2 – 4xy – 2yz 4xz = (2x)2 y2 z2A) y x 2x y b) 2x y 3x c) 2x (2y)




Class 9 Polynomial 2 Coordinate Geometry Linear Equation In Two Variables Euclid S Geometry Lines And Angles Notes
Simple and best practice solution for y^2(1x^2)dxx(x^2y2xy)dy=0 equation Check how easy it is, and learn it for the future Our solution is simple, and easy to understand, so don`t hesitate to use it as a solution of your homeworkAnswer to Prove (y z)^2(2x y z) (z x)^2(x 2y z) (x y)^2(x y 2z) 2(y z)(z x)(x y) = (2x y z)(2y z x)(2z xAnswer to 1) Solve the system x' =3x 4y, y'=2xy 2)Convert y'''2y''y'4y= sin x x^2 3)write the system x' = 3x 4y e^(x^2);
Y'=2x/(yx^2y), y(0)=2 a) Find the solution of the given inial value problem in explicit form b)Plot the graph of the solution c)Determine(at least appoximately) the interval in(x(y•(2xy)))(x2y•(xy)) Step 2 Equation at the end of step 2 (x y • (2x y)) (2xy x 2y 2) Step 3 Trying to factor a multi variable polynomial 31 Factoring 4xy 2x y 2 Try to factor this multivariable trinomial using trial and error Factorization fails Final result 4xy 2x y 2Factorise 4x^(2)y^(2)2x2y3xy Apne doubts clear karein ab Whatsapp par bhi Try it now CLICK HERE 1x 15x 2x Loading DoubtNut Solution for you Watch 1000 concepts & tricky questions explained!
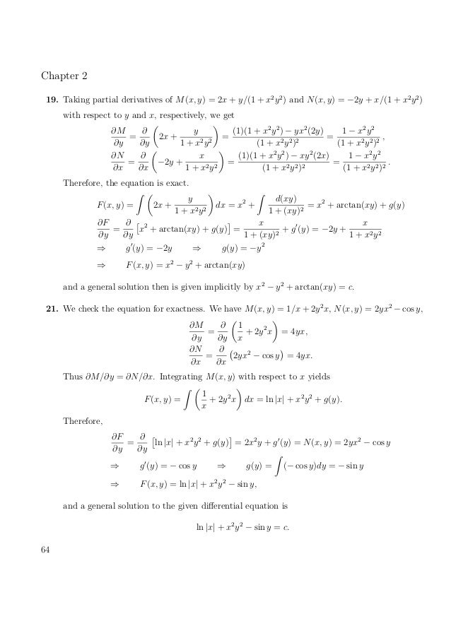
Factorise 25 (2x y)2 16(x 2y)2 Best answer 25 (2x y) 2 16(x 2y) 2 The factors are (xy)(xy) or (xy)^2 We need to factor the trinomial x^22xyy^2 The factors of x^2 = (x)(x) The factors of y^2 = (y)(y) Since the second sign is positive we are adding the factors meaning the signs of the factors need to be the same Since the first sign is negative both signs must be negativeX = M(x,y) = 2x3 and f y = N(x,y) = 2y−2 We check if this is possible M y = 0 N x = 0 Now antidifferentiate M with respect to x f(x,y) = Z M(x,y)dx = Z 2x3dx = x2 3xg(y) where g is some unknown function of y Two ways of proceeding (which are equivalent) I'll list both methods for this problem




Solving Simultaneous Equations The Substitution Method And The Addition Method Algebra Reference Electronics Textbook




Systems Of Equations With Substitution 9x 3y 15 Y X 5 Video Khan Academy
Given x3 −2x2y 3xy2 −6y3By taking x2 as common in the first two term and 3y2 as common in the second two termx3 −2x2y 3xy2 −6y3= x2(x−2y)3y2(x−2y)So we get,x3 −2x2y 3xy2 −6y3= (x−2y 0 Find the second solution First solution is 1 1 − x Solve by Frobenius Method x(1 − x)y ″ 2(1 − 2x)y ′ − 2y = 0 The first solution I am able to get is 1 1 − x Other solution is 1 x, but I am getting − 1 x(1 − x) Where am I going wrong?177 K views 800 people like this



Find 2x Y 3z 4x2 Y2 9z2 2xy 3yz 6xz Studyrankersonline




Solucionario De Ecuaciones Diferenciales Y Problemas Con Valores En L
3x2y=2;2xy=8 Simple and best practice solution for 3x2y=2;2xy=8 Check how easy it is, to solve this system of equations and learn it for the future Our solution is simple, and easy to understand, so don`t hesitate to use it as a solution of your homework 0 Daumen Hi, substituiere z (x) = xy und damit z' = 1y' > y' = z'1 z'1 = (2x 2 (zx)1) 2 z' = (2z1) 2 1 Nach links z'/ ( (2z1) 2 1) = 1 Das integrieren (ist der Tangens) 1/2*arctan (2z1) = x c nach z auflösen z = 1/2*tan (2xc) 1/22xy=2(i) 2x2y=4(ii) Multiplying eqn i by 2 and subtracting with ii 4x2y=4 2x2y=4 _____ 2x=0 X=0 Putting the value of x in i




How Do You Factor The Following Expression Math X 2 Y 2 2x 2y Math By Neal Battaglia Medium



Http Pages Mtu Edu Struther Courses Old Other Older 3521 10 Quizstuff Fromgil Ch 2 Pdf
Factorise X^2 y^2 2x 2y 186 results Maths Factorisex^6 729 y^6 Math Fully factorise 16x^36 1 MathematicsWe think you wrote 2xy(2xy)(2xy)/2(2x^22xyy)4x^2 This deals with adding, subtracting and finding the least common multipleFactorise 2x Y 2 9 X Y 5 The following image below is a display of images that come from various sources The copyright of the image is owned by the owner, this website only displays a few snippets of several keywords that are put together in a post summary To find out more complete and clear information or images, you can visit the source



Link Springer Com Content Pdf m 3a978 1 349 3 2f1 Pdf




How Do You Factor The Following Expression Math X 2 Y 2 2x 2y Math
How do you factorise? Resolver Xy=2 2xy=19 por los tres metodos igualación, sustitución y reducción porfavor Recibe ahora mismo las respuestas que necesitas!Experts are waiting 24/7 to provide stepbystep solutions in as fast as 30 minutes!*




3 Expand And Simplify The Exp See How To Solve It At Qanda



The Solution Of Y 2x 2y E X Dx E X Y 3 Dy 0 If Y 0 1 Is Sarthaks Econnect Largest Online Education Community
Factorise x^22xyy^2〖4z〗^2Factorise x2 2xy y2 4z2 About Press Copyright Contact us Creators Advertise Developers Terms Privacy Policy & Safety How works Test new Factorise x^2y^22x6y8 Get the answers you need, now! y = root3( C 3/(1x^2)) dy/dx=(2x)/(yx^2y)^2 this is separable dy/dx=1/y^2 * (2x)/(1x^2)^2 y^2 dy/dx= (2x)/(1x^2)^2 implies y^3/3 = 1/(1x^2) C y^3 = C 3




Factorise 2y X 2 Y 2x 2x Y 2 2x Y Brainly In




How Do You Find The Intercepts Of X 2y X 2 4y 0 Socratic
Found 2 solutions by checkley77, stanbon Answer by checkley77 () ( Show Source ) You can put this solution on YOUR website!Factorise (2yx)^2(y2x)(2xy)^2(2xy) Ask questions, doubts, problems and we will help you= (x 2 y) 2 − (2 (2 x − y)) 2 = ( x 2 y ) 2 − ( 4 x − 2 y ) 2 is of the form a 2 − b 2 = ( a − b ) ( a b ) = ( x 2 y − 4 x 2 y ) ( x 2 y 4 x − 2 y )




Determination Of Integrating Factors Y Y 2x 2 Dx Chegg Com



Factorise 25 2x Y 2 16 X 2y 2 Sarthaks Econnect Largest Online Education Community
Aryavardhan1708 Aryavardhan1708 Mathematics Middle School answered Factorise x^2y^22x6y8 1 See answer Aryavardhan1708 is waiting for your help Add your answer and earn pointsFirst one uses the result that matha^2b^2=(ab)(ab)/math In this case we have matha=x2y, b=2(2xy)=4x2y/math So we get math(x2y)^2(2(2xy))^2=(x2yANSWER (xy)(2xy)(x2y)(x−y) =x(2xy)y(2xy)x(x−y)2y(x−y) =2x 2 xy2xyy 2 x 2 −xy2xy−2y 2 =(21)x 2 (12−12)xy(1−2)y 2 =3x 2




Solutions To Implicit Differentiation Problems



Q Tbn And9gcs7plafr0dcdpdy0lhast5xfrom6w4zuagztf9syxem9yl0obe2 Usqp Cau
Berechne den Wert der Terme für x = 2 und y = 2,5!Factorise By Splitting The Middle Term 9 X 2y 2 4 X 2y 13 Brainly In For more information and source, see on this link https//brainlyin/question/ Factorise I 4x 2 9y 2 16 Z 2 12 X Y 24 Y Z 16 X Z Ii 2x 2 Y 2 2sqrt 2 X Y 4sqrt 2 Y Youtube For more information and source, see on this link https//wwwyoutubecom/watch?v=0D5US7UWqUY=3x2 (RED LINE) 2xy=8 Y=2X8 (GREEN LINE) (graph 300x0 pixels, x from 6 to 5, y from 10 to 10, of TWO functions 3x 2 and 2x 8) solution (2




How To Factorise A Polynomial By Splitting The Middle Term A Plus Topper




3 2 Problems Find General Solutions In Powers Of X Of The Diferential Equa Tions In Problems 1 T Homeworklib
Solve your math problems using our free math solver with stepbystep solutions Our math solver supports basic math, prealgebra, algebra, trigonometry, calculus and more2x^2 3xy 4y^2 6x 3y 4 = 0 Extended Keyboard; Alternatively, we can simply look for an inverse That is solve for in terms of If we can do so, is invertible, with inverse given by this expression Finally, since is linear, we may write it in matrix form If the matrix is invertible, then we can solve for in terms of ,



Solved 2 60p 2x 2y X2 2xy 2x2 4xy 2x Y 0 A Show That It Is Not Complete B Determine The Integration Factor C Find The General Course Hero



3
Sahil Sharma, added an answer, on 2/9/13 Sahil Sharma answered this it is a good question took a lot of time i think your question is wrong if in the first term you would replace (y 2x) with (2y x) then the solution would be (2yx) 2 (2yx) (2xy) 2 (2xy)Factorise 25(2x Y)2 16(X 2y)2 CISCE ICSE Class 8 Textbook Solutions 7710 Important Solutions 5 Question Bank Solutions 64 Concept Notes & Videos 227 Syllabus Advertisement Remove all ads Factorise 25(2x Y)2 16(X 2y)2 Mathematics Advertisement Remove allCompute answers using Wolfram's breakthrough technology & knowledgebase, relied on by millions of students & professionals For math, science, nutrition, history




Math 432 Hw 2 5 Solutions Frostburg




Class 9 Polynomial 2 Coordinate Geometry Linear Equation In Two Variables Euclid S Geometry Lines And Angles Notes
Given that 2x – y z = 240 If z = 2y y = 2x then x = 0 50 70 60 z = 27y = 2x⇒ z = 2 2x = 4x2x – y z = 2402x – 2x 4x = 2404x = 240x = 60Systemofequationscalculator 2xy=6, 2yy=2 en Related Symbolab blog posts Middle School Math Solutions – Simultaneous Equations Calculator Solving simultaneous equations is one small algebra step further on from simple equations SymbolabFactor 2x^2xyy^2 2x2 − xy − y2 2 x 2 x y y 2 For a polynomial of the form ax2 bx c a x 2 b x c, rewrite the middle term as a sum of two terms whose product is a⋅c = 2⋅−1 = −2 a ⋅ c = 2 ⋅ 1 = 2 and whose sum is b = −1 b = 1 Tap for more steps Reorder terms 2 x 2 − y 2 − x y 2 x 2 y 2 x y




Math 432 Hw 2 5 Solutions




Differential Equatio Long Answer Questions 7 M R Solye 2x Y 3 Dx 2y X 1 Dy Sol Dy 2x Y 3 Given Equation Is
x^22xyy^2加2x2y1因式分解 _____ x^22xyy^2加2x2y1因式分解x²2xyy²2x2y1=(xy)²2(xy)1=(xy1)² 实数x、y满足2x方 2xyy方2x1=0,求x y的值 _____ 2x²=x²x²所以(x²2xyy²)(x²2x1)=0(xy)²(x1)²=0平方大于等于0,相加等于0若有一个大于0,则另一个小于0,不成立所以两个都Steps for Solving Linear Equation y=2x2 y = 2 x 2 Swap sides so that all variable terms are on the left hand side Swap sides so that all variable terms are on the left hand side 2x2=y 2 x 2 = y Subtract 2 from both sides Subtract 2 from both sides Tính 1/2x^2y^2 (2xy) (2xy) Bài 1 Tính 1 2 x2y2 1 2 x 2 y 2 ( 2x y) (2x y) Theo dõi Vi phạm YOMEDIA Toán 8 Bài 2 Trắc nghiệm Toán 8 Bài 2 Giải bài tập Toán 8 Bài 2




Systems Of Equations With Substitution Y 5x 8 10x 2y 2 Video Khan Academy




Chapter 3 More About Factorization Ppt Download
Solution for Given z = f(x – y, 2x – 2y, 3x – 3y) Show that dz dz 0 dx fie Want to see this answer and more?Free math problem solver answers your algebra, geometry, trigonometry, calculus, and statistics homework questions with stepbystep explanations, just like a math tutorX^2yx2xyxy^22y 4Taking x and y, as they are common x(xy2)y(xy2) (xy)(xy2) For clarification 2Adding yx and subtracting it In this step yx is added, because the equation cannot be factorised as there are no common elements and hence yx is added so that it can be factorised For eg 10= 10 3–3



How To Factorise X 2 2x Y 2 2y Quora




Exact Equations Example 3 Video Khan Academy
Get stepbystep solutions from expert tutors as fast as 1530 minutes Welcome to Sarthaks eConnect A unique platform where students can interact with teachers/experts/students to get solutions to their queries Students (upto class 102) preparing for All Government Exams, CBSE Board Exam, ICSE Board Exam, State Board Exam, JEE (MainsAdvance) and NEET can ask questions from any subject and get quick answers byCalculus ordinarydifferentialequations powerseries frobeniusmethod




Differential Equations Solved Examples Show That Following Differential Equation Is Not Exact 3x 2y 4 2xy Dx 2x 3y 3 X 2 Dy 0 Then Find An Integrating Factor To Solve The Differential Equation



Www Jstor Org Stable
Factorización por aspa doble Síguenos en Twitter y FaceBook para cualquier duda, preguntas, ejercicios puntuales Enseñamos para aprender, aprendemos para e



Solve X 2y 1 2x Y 7 Maths Questions




Sqrt3xy 3x2 Sqrt3xyy2 Sqr See How To Solve It At Qanda




02 A Show That The Following Differential Chegg Com



Mfm2p




Solve Y 2 2x 2y Dx 2x 3 Xy Dy 0 Mathematics Stack Exchange




Joint Equation Of A Pair Of Lines When Point On Them And Two Lines Are Given



Factoring Factorization Numbers




Differential Equations Solved Examples Show That Following Differential Equation Is Not Exact 3x 2y 4 2xy Dx 2x 3y 3 X 2 Dy 0 Then Find An Integrating Factor To Solve The Differential Equation



Mast Queensu Ca Math121 Assignments Unit23 Solutions Pdf



For Problems 26 Determine An Integrating Factor Chegg Com




Ex 9 4 3 V Simplify X Y 2x Y X 2y X Y Class 8




Answered Which Expression Has A Factor Of X 2 Bartleby




Factor Factor A Polynomial And Trinomial With Step By Step Math Problem Solver




Rd Sharma Solutions For Class 8 Chapter 7 Factorization Download Free Pdf



1




Solve Y 2 2x 2y Dx 2x 3 Xy Dy 0 Mathematics Stack Exchange




Factorise 2y X 2 Y 2x 2x Y 2 2x Y Brainly In




Find The Products I 2x Y 2x Y 4x 2 Y 2 Ii X Y 5 1 X Y 5 1 Youtube




Solve Systems Of Linear Equations With Two Variables Intermediate Algebra




Determine An Integrating Factor For The Given Chegg Com




If X Y 2 3 Find The Value Of 3x 2y 2x 5y Dot




Factorise 2x Y 2 9 X Y 5 Novocom Top




Expanding Factoring And Solving Sles Math173df




Module 1 Plane Coordinate Geometry




Class 9 Polynomial 2 Coordinate Geometry Linear Equation In Two Variables Euclid S Geometry Lines And Angles Notes



1



How To Factorise X 2 Y 2 2x 6y 8 Quora




If X 3 2x 2y 2 5x Y 5 0 And Y 1 1 Then A Y Prime 1 4




Factorise 4x 2 Y 2 3xy 2x 2y Maths Algebraic Identities And Factorisation Meritnation Com




Factor Graph For Algebraic Function F X Y Z Y 2 Yz 2yx 2xz Download Scientific Diagram




Factoring By Grouping Algebra Socratic



Http Maths Dur Ac Uk Users Daniel Evans Mes Messolutionsupdated Pdf



Http Www Maths Mq Edu Au Numeracy Web Mums Module2 Worksheet26 Module2 Pdf




Factorize 2y X 2 2y X 2x Y 2 2x Y Maths Meritnation Com




Math 432 Hw 2 5 Solutions Pdf Free Download



Www Ualberta Ca Csproat Homework Math 334 Assignment solutions Assignment 2 solutions Pdf



Http Www Cacmath Org Uploads 5 4 4 2 Pom10sb Ans Pdf




Solution The Equation X 2 Y 2 4x 2y 0 Describes



Www Tau Ac Il Levant Ode Solution 6 Pdf




Slides Show



If 2x Y 23 And 4x Y 19 Then Find The Values Of 5y 2x And Y X 2 Studyrankersonline




Expanding Factoring And Solving Sles Math173df



2



Link Springer Com Content Pdf m 3a978 1 349 3 2f1 Pdf




Algebra Calculator Tutorial Mathpapa




Math 432 Hw 2 5 Solutions Pdf Free Download



Homogeneous Differential Equations




Factorize X 3 Y 3 2x 2 2y 2



Link Springer Com Content Pdf m 3a978 1 349 3 2f1 Pdf



Www Deerfield K12 Wi Us Faculty Polzinr Cms Files Assignment Attach 330 Final review key Pdf



Www Waynesville K12 Mo Us Cms Lib07 Mo Centricity Domain 603 A1 c6 l2 solution key worked out Pdf



2




Factor Factor A Polynomial And Trinomial With Step By Step Math Problem Solver




Factoring Quadratic Question Hello




Ex 14 2 3 Iii Factorise 2x 3 2xy 2 2xz 2 Ex 14 2




2x Y 6 0 4x 2y 4 0 Solve Graphically Novocom Top




Rd Sharma Class 9 Chapter 5 Factorization Of Algebraic Expressions




The Factors Of X 3 X 2y X Y 2 Y 3 Are A X Y X 2 X Y Y 2 B X Y X 2 X Y Y 2 C Youtube



How To Solve The Simultaneous Equations X 2 Y 2 36 And X 2y 6 Quora




Find The General Solution Of The Differential Equation 2x 2 Y Dx X 2y X Dy 0 Study Com




Chapter 3 More About Factorization Ppt Download




Solve Y 2 2x 2y Dx 2x 3 Xy Dy 0 Mathematics Stack Exchange




How To Factorise A Polynomial By Splitting The Middle Term A Plus Topper



2




Factor X 2 2x Xy 2y Factor By Grouping Youtube



Http Palmer Wellesley Edu Ivolic Pdf Classes Handouts Algebraprecalcreview Review Factoring



Exact Equations



Mfm2p




X 2 2xy Y 2 X 2 Y 2 2x 2 Xy Y 2 X 2 Xy 2y 2 Youtube




Factor Graph For Algebraic Function F X Y Z Y 2 Yz 2yx 2xz 2x Y




How To Do Implicit Differentiation 7 Steps With Pictures



Www Waynesville K12 Mo Us Cms Lib07 Mo Centricity Domain 603 A1 c6 l2 solution key worked out Pdf




Factorise X 2y 2 4 2x Y 2 Brainly In



How To Factor Math X 2 2x Y 2 2y Math Quora
0 件のコメント:
コメントを投稿